Ответы
Ответ дал:
0
Для удобства обозначим
, тогда:
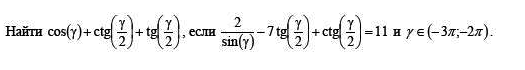
- найти нужно значение выражения
- известно, что
- угол
, тогда
или записав по-другому
- угол второй четверти
Рассмотрим известное равенство:


Так как угол х лежит во второй четверти, то его тангенс отрицательный. Значит, второе значение не удовлетворяет условию, и
Находим оставшиеся неизвестные слагаемые:


Используя формулу
, получим:

Подставляем найденные слагаемые в сумму:

Ответ: -3,1
- найти нужно значение выражения
- известно, что
- угол
Рассмотрим известное равенство:
Так как угол х лежит во второй четверти, то его тангенс отрицательный. Значит, второе значение не удовлетворяет условию, и
Находим оставшиеся неизвестные слагаемые:
Используя формулу
Подставляем найденные слагаемые в сумму:
Ответ: -3,1
Ответ дал:
0
Спасибо огромное за помощь! :))
Вас заинтересует
3 года назад
8 лет назад
8 лет назад
10 лет назад
10 лет назад
10 лет назад