• Предмет: Алгебра
  • Автор: 208654
  • Вопрос задан 10 лет назад

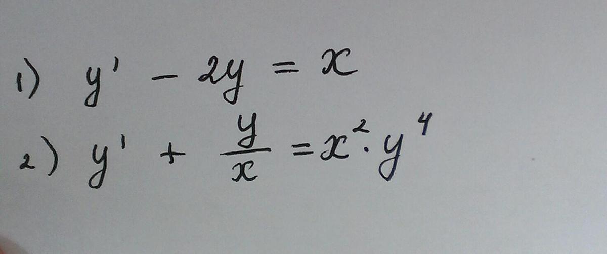
диффиринциальное обычное первого порядка решите 1,2

Приложения:

Ответы

Ответ дал: NNNLLL54
0
1); ; y'-2y=x; ,; ; ; y=uv; ,; y'=u'v+uv'\\u'v+uv'-2uv=x\\u'v+u(v'-2v)=x\\a); frac{dv}{dx}-2v=0; ,; ; int frac{dv}{v}=2int dx; ,; lnv=2x; ,; v=e^{2x}\\b); frac{du}{dx}cdot e^{2x}=x; ,\\ int du=int xcdot e^{-2x}dx=[t=x,; dt=dx,; dp=e^{-2x}dx,; p=-frac{1}{2}e^{-2x}]\\u=-frac{x}{2}e^{-2x}+int frac{1}{2}e^{-2x}dx=-frac{x}{2}e^{-2x}-frac{1}{4}e^{-2x}+C\\u=-frac{e^{-2x}}{2}(x+frac{1}{2})+C\\c); y=e^{2x}cdot frac{-e^{-2x}}{2}(x+frac{1}{2})+e^{2x}cdot C

y=-frac{1}{2}(x+frac{1}{2})+e^{2x}cdot C\\2); ; y'+frac{y}{x}=x^2y^4; ,; ; y=uv\\u'v+uv'+frac{uv}{x}=x^2(uv)^4\\a); v'+frac{v}{x}=0,; frac{dv}{dx}=-frac{v}{x},; int frac{dv}{v}=-int frac{dx}{x},\\ lnv=-lnx,; v=x^{-1}=frac{1}{x}\\b); u'cdot frac{1}{x}=x^2u^4cdot frac{1}{x^4}\\int frac{du}{u^4}=int frac{dx}{x}\\frac{u^{-3}}{-3}=ln|x|+lnC; ,; ; -frac{1}{3u^3}=ln|Cx|; ,; ; u^3=-frac{1}{3ln|Cx|}\\u=-sqrt[3]{frac{1}{3ln|Cx|}}=-frac{1}{sqrt[3]{3ln|Cx|}}

c); y=-frac{1}{xsqrt[3]{3ln|Cx|}}
Вас заинтересует