• Предмет: Алгебра
  • Автор: ahalabka
  • Вопрос задан 10 лет назад

Помогите пожалуйста!!
Упростите выражение:
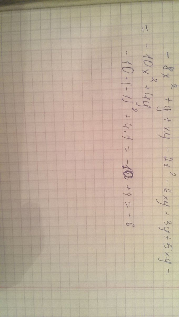
-8x²+y+xy-2x²-6xy+3y+5xy
Если x=-1,y=1

Ответы

Ответ дал: дашв5
0
лично я думаю, что так)))))
Приложения:
Вас заинтересует