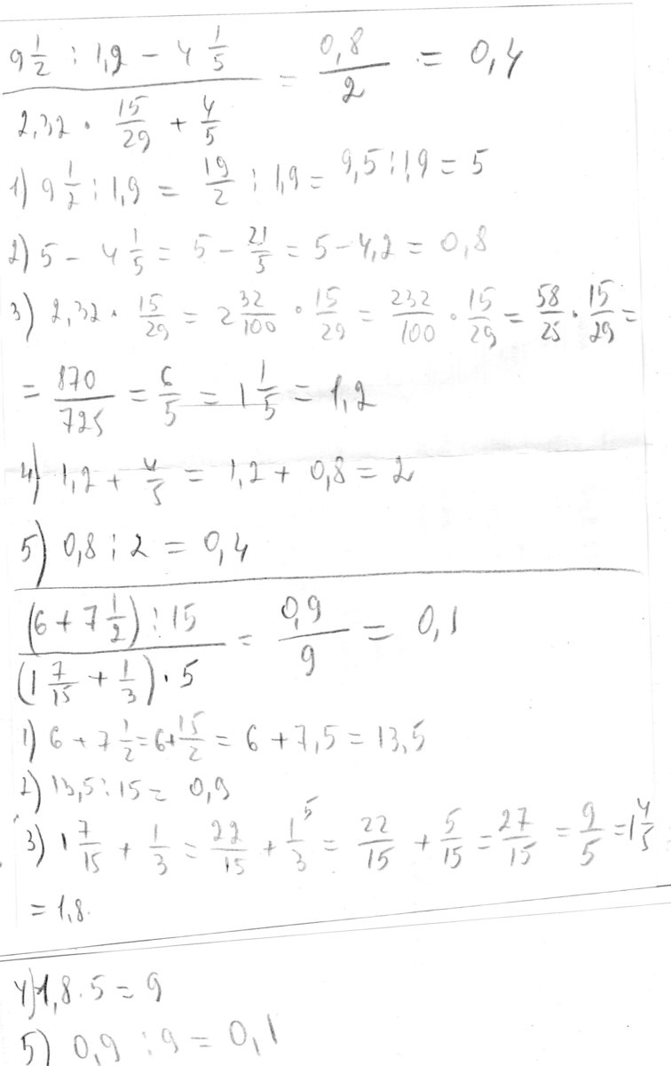
9целая 1/2разделить 1.9-4целых1/5 дробная черата2.32*15/29+4/5
1пример
(6+7целых1/2):15дробная черта (1целая7/15+1/3)*5 2 пример
Ответы
Ответ дал:
0
смотри решение во вложении
Приложения:

Ответ дал:
0
удачи
Ответ дал:
0
спасибо
Ответ дал:
0
пожалуйста
Вас заинтересует
2 года назад
2 года назад
7 лет назад
10 лет назад
10 лет назад
10 лет назад
10 лет назад