Ответы
Ответ дал:
0
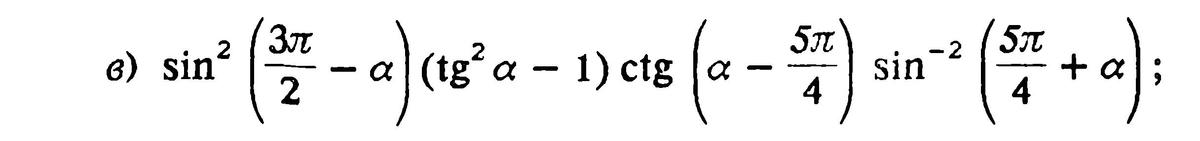
1) sin^2 (3pi/2 - a) = (-cos a)^2 = cos^2 a
tg^2 a - 1 = sin^2 a / cos^2 a - 1 = (sin^2 a - cos^2 a)/cos^2 a =
= -cos 2a / cos^2 a
ctg(a - 5pi/4) = cos(a - 5pi/4) / sin(a - 5pi/4)



Подставляем все это


tg^2 a - 1 = sin^2 a / cos^2 a - 1 = (sin^2 a - cos^2 a)/cos^2 a =
= -cos 2a / cos^2 a
ctg(a - 5pi/4) = cos(a - 5pi/4) / sin(a - 5pi/4)
Подставляем все это
Ответ дал:
0
Вот откуда второй минус берется, и никаких неоднозначностей не возникает!
Ответ дал:
0
да, это известная формула :) но я учил теорию с одним иксом, а на практике мне дают примеры, где в скобках и альфа и пи и еще много чего... растерялся)
Ответ дал:
0
Чтобы избавляться от пи - используй формулы приведения!
Ответ дал:
0
Вот тут 6 страниц тригонометрии: http://www.pm298.ru/trigon.php
Ответ дал:
0
я как раз эту тему прохожу, мне будет полезно! Благодарю!
Вас заинтересует
3 года назад
3 года назад
8 лет назад
8 лет назад