Ответы
Ответ дал:
0
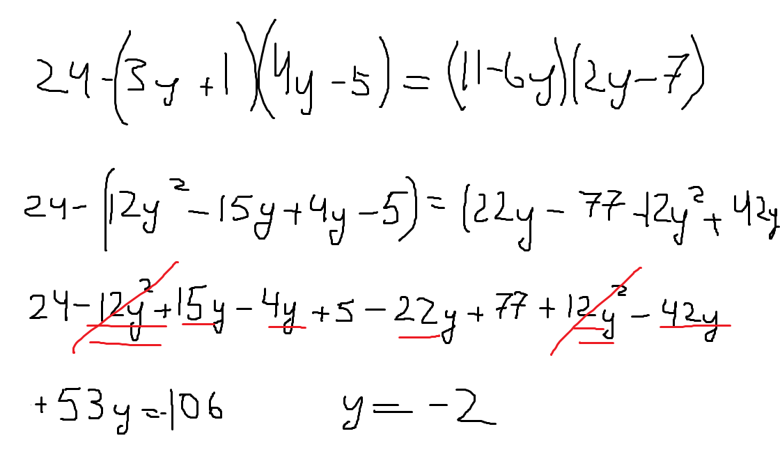
24-12у+5=12у-77
-12у-12у=-24-5+77
-24у=48
у=48:(-24)
у=-2
-12у-12у=-24-5+77
-24у=48
у=48:(-24)
у=-2
Ответ дал:
0
йййййййййййййййййййййййййййййййййй
Приложения:

Вас заинтересует
2 года назад
2 года назад
7 лет назад
7 лет назад
10 лет назад
10 лет назад
10 лет назад