• Предмет: Химия
  • Автор: polinaendless
  • Вопрос задан 10 лет назад

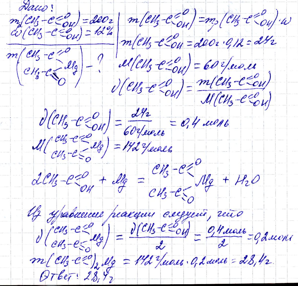
Рассчитайте массу ацетата магния, полученного в реакции раствора уксусной кислоты массой 200г с массовой долей кислоты равной 12,0%, с магнием, взятым с избытком

Ответы

Ответ дал: mrvladimir2
0
Решение задачи полное см. во вложении
Приложения:
Вас заинтересует