Ответы
Ответ дал:
0
только то, что под чертой)
Приложения:

Ответ дал:
0
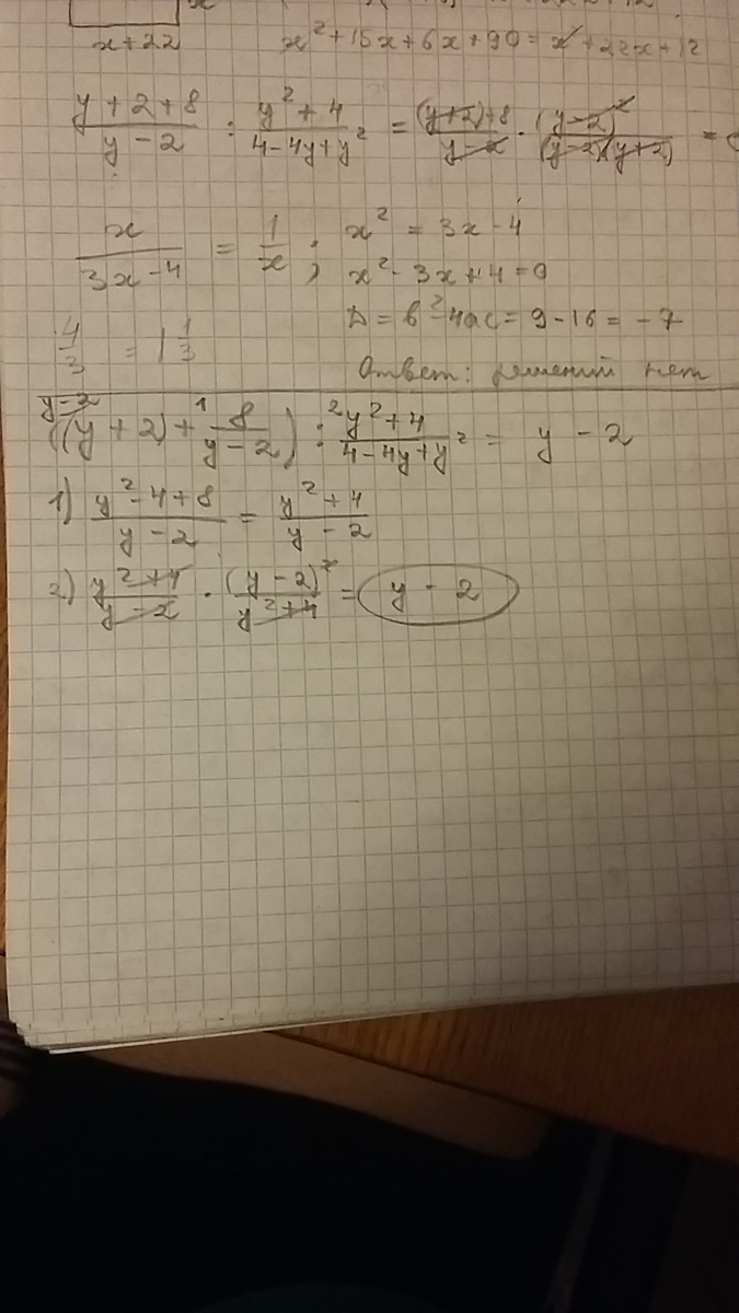
а почему знак на минус не поменяли во второй дроби в знаменателе, ведь там (2-y), а первой у нас (у-2), и как вы тогда сократили?
Ответ дал:
0
если поменять местами уменьшаемое и вычитаемое если они в скобочках в квадрате, то смысл не поменяется
Ответ дал:
0
1. ((y+2)(y-2)+8)/(y-2)=
=(y²-4+8)/(y-2)= -(y²+4)/(2-y)
2. 4-4y+y²=(2-y)²
при делении дробь переворачиваем и будет умножение
(-(y²+4)/(2-y))*(2-y)²/(y²+4)=
=(-(y²+4)*(2-y)²)/
/(2-y)*(y²+4)=
=(-(2-y)= -2+y= y-2
=(y²-4+8)/(y-2)= -(y²+4)/(2-y)
2. 4-4y+y²=(2-y)²
при делении дробь переворачиваем и будет умножение
(-(y²+4)/(2-y))*(2-y)²/(y²+4)=
=(-(y²+4)*(2-y)²)/
/(2-y)*(y²+4)=
=(-(2-y)= -2+y= y-2
Приложения:

Вас заинтересует
2 года назад
2 года назад
7 лет назад
7 лет назад
10 лет назад
10 лет назад
10 лет назад
10 лет назад