• Предмет: Алгебра
  • Автор: еееа
  • Вопрос задан 10 лет назад

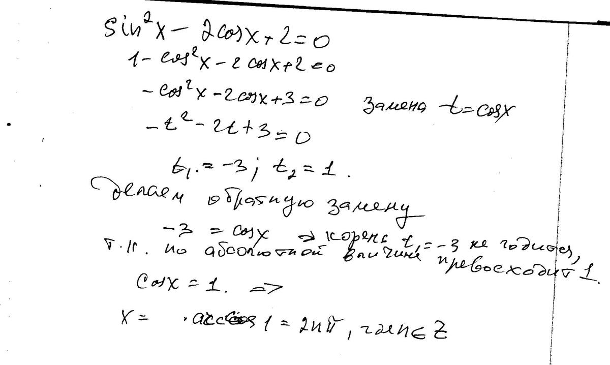
Sin^2x-2cosx+2=0
Помогите решить пожалуйста ☺️

Ответы

Ответ дал: Аноним
0
Решение в скане. Удачи Вам.
Приложения:
Вас заинтересует