• Предмет: Алгебра
  • Автор: мурка199
  • Вопрос задан 11 лет назад

пожалуйста решите 3 задание во вкладке буду очень благодарна))))) 

Приложения:

Ответы

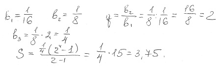
Ответ дал: Ellenochka
0

____________________________________

Приложения:
Ответ дал: Кристина1Берлин
0

вот:)1/4 + 1/2+1+2 = 3 3/4

Приложения:
Вас заинтересует