• Предмет: Алгебра
  • Автор: Аоександра9
  • Вопрос задан 10 лет назад

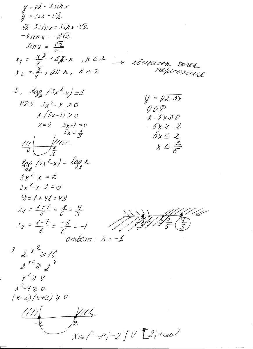
помогите пожалуйста 1,2 и 3; очень прошу! спасибо!

Приложения:

Ответы

Ответ дал: yanaaleksandrov
0
на фотооооооооооооооооооооооооооооооооооооооооооооооооооооооооооооооооооо
Приложения:
Вас заинтересует