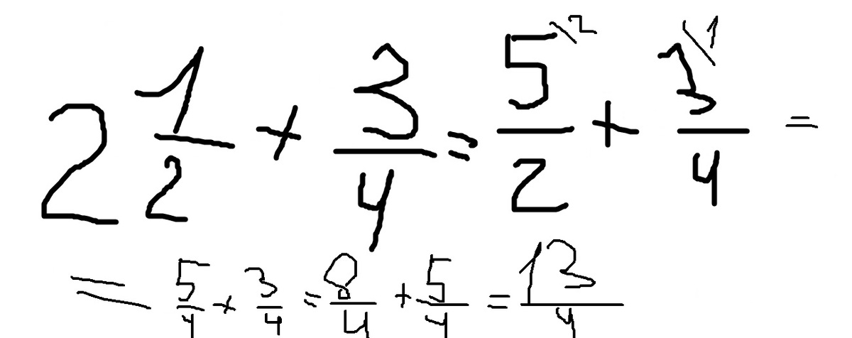
сшилиткостюм. На убку ушло 2 1/2 м ткани , а на жакет - на 3/4 м ткани больше . сколько ткани ушло на костюм ?
Ответы
Ответ дал:
0
художник)0) ответ 13/8
Приложения:

Ответ дал:
0
тоесть 13/4
Вас заинтересует
2 года назад
7 лет назад
10 лет назад
10 лет назад