• Предмет: Математика
  • Автор: Крис111111112
  • Вопрос задан 10 лет назад

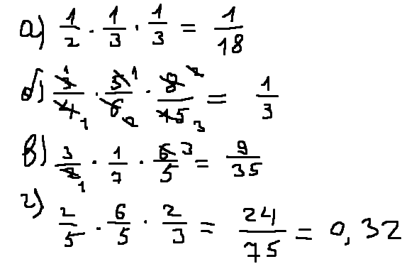
помогите номер 22(буквы а,б,в,г)

Приложения:

Ответы

Ответ дал: Бедард
0
а)1/2*1/3*1/3=1/18
б)3/4*5/6*8/15=120/360=1/3
в)3/2*1/7*6/5=18/70=9/35
Ответ дал: kristina00
0
решение на фото)))))))))))
Приложения:
Вас заинтересует