Ответы
Ответ дал:
0
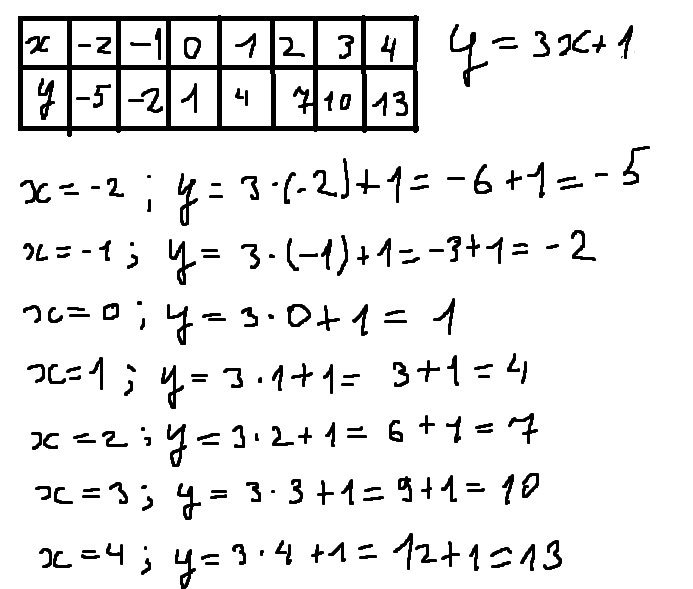
решение на фото)))))))))))
Приложения:

Ответ дал:
0
спасибо
Ответ дал:
0
выручила
Ответ дал:
0
да пожалуйста)
Вас заинтересует
2 года назад
2 года назад
7 лет назад
7 лет назад
10 лет назад
10 лет назад
10 лет назад