Ответы
Ответ дал:
0
НАПИШИ СПАСИБО В КОММЕНТАРИИ К МОЕМУ ПРОФИЛЮ И ОТМЕТЬ КАК ЛУЧШИЙ ЕСЛИ Я ТЕБЕ ПОМОГЛА
Приложения:


Ответ дал:
0
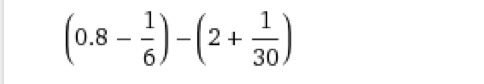
Как его решать и ответ будет -7/5
Ответ дал:
0
Ой, точно
Ответ дал:
0
исправила
Ответ дал:
0
там дробь просто. Поэтому скриншотами (не знаю как тут их стаивить
Вас заинтересует
2 года назад
2 года назад
7 лет назад
10 лет назад
10 лет назад