• Предмет: Математика
  • Автор: ymnik38
  • Вопрос задан 10 лет назад

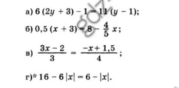
помогите пожалуйста!!!

Приложения:

Ответы

Ответ дал: Лука1ааа
0
извкеи я не понимаю извенм
Вас заинтересует