Ответы
Ответ дал:
0
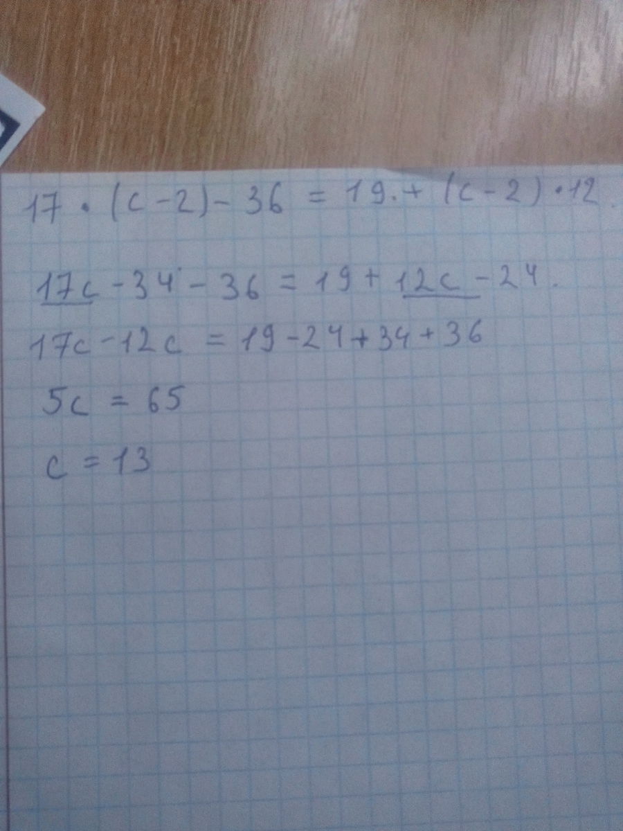
17с-34-36=19+12с-24
17с-12с=19-24+34+36
5с=65
с= 65÷5=13
17с-12с=19-24+34+36
5с=65
с= 65÷5=13
Ответ дал:
0
Вот, все видно на картинке)
Приложения:

Ответ дал:
0
спасибо выручил
Ответ дал:
0
нез, бро
Вас заинтересует
2 года назад
2 года назад
7 лет назад
7 лет назад
10 лет назад
10 лет назад
10 лет назад