• Предмет: Физика
  • Автор: el991
  • Вопрос задан 10 лет назад

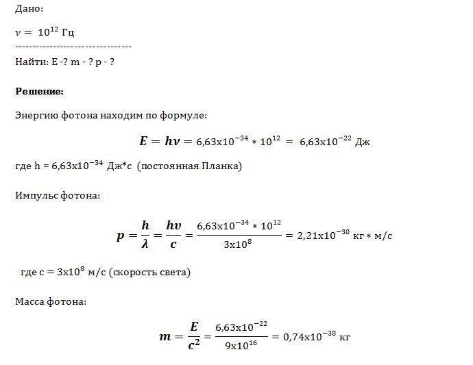
Определите энергию, массу и импульс фотона для инфракрасных лучей (v=10^12Гц)

Ответы

Ответ дал: livres
0

Решение во вложении:

Приложения:
Вас заинтересует