Ответы
Ответ дал:
0
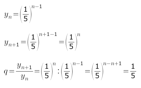
чтобы доказать, что последовательность является именно геометрической прогрессией,
нужно доказать, что существует постоянный знаменатель геометрической прогрессии... что он не зависит от n....
нужно доказать, что существует постоянный знаменатель геометрической прогрессии... что он не зависит от n....
Приложения:

Вас заинтересует
2 года назад
2 года назад
7 лет назад
7 лет назад
10 лет назад
10 лет назад