• Предмет: Алгебра
  • Автор: Florida777
  • Вопрос задан 10 лет назад

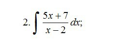
ПОМОГИТЕ!НАЙДИТЕ ИНТЕГРАЛ!

Приложения:

Ответы

Ответ дал: NNNLLL54
0
int  frac{5x+7}{x-2} dx=5int  frac{5x+7}{5x-10} dx=5int  frac{(5x-10)+10+7}{5x-10} dx=\\=5int (1+frac{17}{5x-10})dx=5int dx+int frac{17}{x-2}dx=5x+17cdot ln|x-2|+C\\P.S.; ; int frac{dx}{kx+b}=frac{1}{k}cdot ln|kx+b|+C
Вас заинтересует