• Предмет: Алгебра
  • Автор: Florida777
  • Вопрос задан 10 лет назад

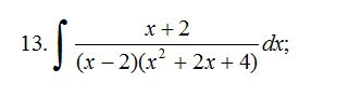
ПОМОГИТЕ!НАЙДИТЕ ИНТЕГРАЛ!

Приложения:

Ответы

Ответ дал: NNNLLL54
0
int  frac{(x+2)dx}{(x-2)(x^2+2x+4)} =I\\ frac{x+2}{(x-2)(x^2+2x+4)} = frac{A}{x-2} + frac{Bx+C}{x^2+2x+4} = frac{A(x^2+2x+4)+(Bx+C)(x-2)}{(x-2)(x^2+2x+4)} \\x+2=A(x^2+2x+4)+(Bx+C)(x-2)\\x+2=(A+B)x^2+(2A-2B+C)x+(4A-2C)x^0; ,; ; [x^0=1]\\x^2; |, A+B=0,; ; to ; ; A=-B\\x; |; 2A-2B+C=1,; ; to ; ; C=1+4B,\\x^0; |; 4A-2C=2,; ; to ; ; -2B-C=1,; C=-2B-1\\-2B-1=1+4B; ; to ; ; 6B=-2,; B=-frac{1}{3}\\A=frac{1}{3},; ; C=-frac{1}{3}

I=frac{1}{3}int frac{dx}{x-2}-frac{1}{3}int frac{x+1}{x^2+2x+4}dx=frac{1}{3}ln|x-2|-frac{1}{3}int  frac{x+1}{(x+1)^2+3} =\\=[, t=x+1,; x=t-1,; dt=dx, ]=frac{1}{3}ln|x-2|-frac{1}{3}int  frac{t, dt}{t^2+3} =\\=frac{1}{3}ln|x-2|-frac{1}{3}cdot frac{1}{2}int  frac{2t, dt}{t^2+3}=frac{1}{3}ln|x-2|-frac{1}{6}int  frac{du}{u}=[, u=t^2+3, ]=\\=frac{1}{3}ln|x-2|-frac{1}{6}ln|u|+C=frac{1}{3}ln|x-2|-frac{1}{6}ln|x^2+2x+4|+C
Вас заинтересует