• Предмет: Алгебра
  • Автор: Florida777
  • Вопрос задан 10 лет назад

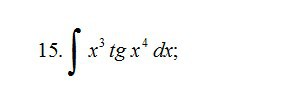
ПОМОГИТЕ!НАЙДИТЕ ИНТЕГРАЛ!

Приложения:

Ответы

Ответ дал: NNNLLL54
0
int x^3cdot tgx^4cdot dx=[, t=x^4,; dt=4x^3, dx,; x^3dx=frac{dt}{4}, ]=\\=frac{1}{4}int tgtcdot dt=frac{1}{4}int  frac{sint}{cost} dt=\\=[, u=cost,; du=-sintcdot dt,; sint, dt=-du, ]=\\=frac{1}{4}int frac{-du}{u}=-frac{1}{4}cdot ln|u|+C=-frac{1}{4}ln|cosx^4|+C
Вас заинтересует