• Предмет: Математика
  • Автор: 18766
  • Вопрос задан 11 лет назад

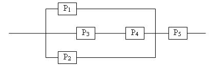
Определить надежность схемы, если Pi – надежность i – го элемента

Приложения:

Ответы

Ответ дал: Koks73
0

До конца дано не понял, но мне кажется, что надежность схемы будет P5

Вас заинтересует