• Предмет: Алгебра
  • Автор: nastyapurtova
  • Вопрос задан 10 лет назад

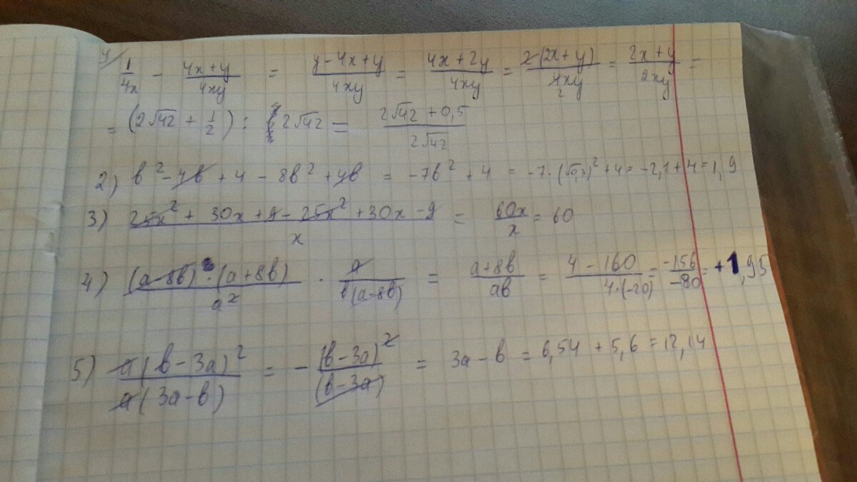
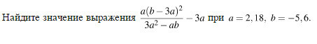
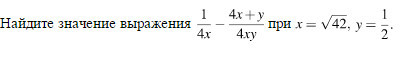
Решите пожалуйста :с Буду очень благодарна

Приложения:

Ответы

Ответ дал: PROzharka
0
Смотри вложение....................
Приложения:
Вас заинтересует