Ответы
Ответ дал:
0
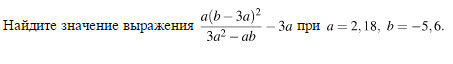
a(b-3a)²/3a²-ab=a(b-3a)²/a(3a-b)= b²-6ab+9a²-9a²+3ab/3a-b=b²-3ab/3a-b=
=(-5,6)²-3×2,1×(-5,6)/3×2,18+5,6=31,36+35,28/12,14=66,64/12,14=33,32/6,07
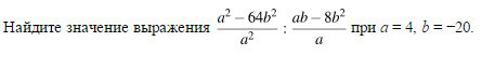
(a-8b)(a+8b)/a²×a/b(a-8b)=a+8b/a=4-160/4=-156/4=-39
25x²+30x+9-25x²+30x-9/x=60x/x=60
b²-4b+4-8b²+4b=4-7b²=4-7×(√0,3)²=4-2,1=1,9
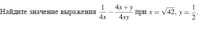
у-4х+у/16х²у=-4√42/16×42×0,5=- √42/84=-√42/84=-√42/84
=(-5,6)²-3×2,1×(-5,6)/3×2,18+5,6=31,36+35,28/12,14=66,64/12,14=33,32/6,07
(a-8b)(a+8b)/a²×a/b(a-8b)=a+8b/a=4-160/4=-156/4=-39
25x²+30x+9-25x²+30x-9/x=60x/x=60
b²-4b+4-8b²+4b=4-7b²=4-7×(√0,3)²=4-2,1=1,9
у-4х+у/16х²у=-4√42/16×42×0,5=- √42/84=-√42/84=-√42/84
Вас заинтересует
3 года назад
8 лет назад
8 лет назад
10 лет назад