• Предмет: Алгебра
  • Автор: aprilepina011
  • Вопрос задан 10 лет назад

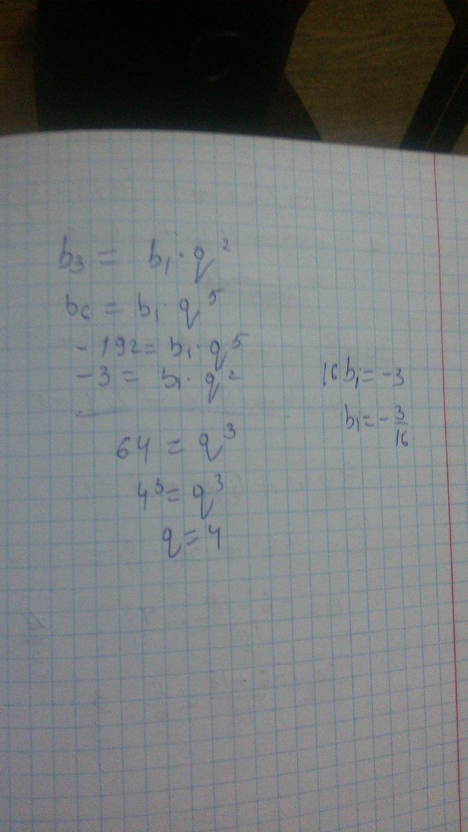
дана геометрическая прогрессия (bn),в которой b3равна -3 а b6равна -192.найти первый член прогрессии

Ответы

Ответ дал: копу
0
Я решила так удобно нет?
Приложения:
Ответ дал: aprilepina011
0
ответ до десятых округлишь,поиз
Ответ дал: aprilepina011
0
яб сама некогда
Ответ дал: копу
0
но там ничего округлять не стоит
Ответ дал: aprilepina011
0
это тесты к огэ
Ответ дал: aprilepina011
0
там округлять надо
Вас заинтересует