две стороны треугольника равна 5 см и √32 см,а угол противолежащий большей из них,равен 45°. Найдите третью сторону и другие углы этого треугольника
Ответы
Ответ дал:
0
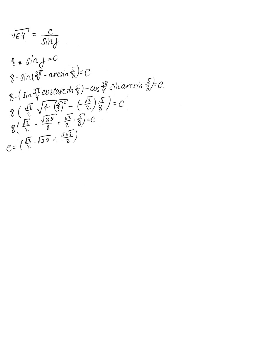
Решение в приложении.
Ответ:
углы у треугольника в радианах:
стороны в радианах

Ответ:
углы у треугольника в радианах:
стороны в радианах
Приложения:
Вас заинтересует
3 года назад
3 года назад
8 лет назад
8 лет назад
10 лет назад
11 лет назад