• Предмет: Математика
  • Автор: Альберт06
  • Вопрос задан 10 лет назад

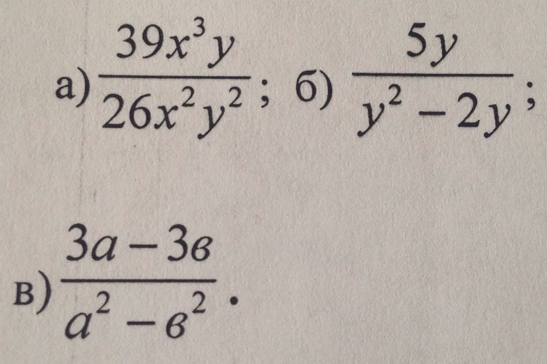
Пожалуйста, ответь на вопрос во вложении.

Приложения:

Ответы

Ответ дал: dostavkin54
0
а) 13х²у(3х)/13х²у(2у) = 3х/2у

б) 5у/у(у-2)=5/у-2

в)3(а-в)/(а+в)(а-в)= 3/а+в
Вас заинтересует