Ответы
Ответ дал:
0
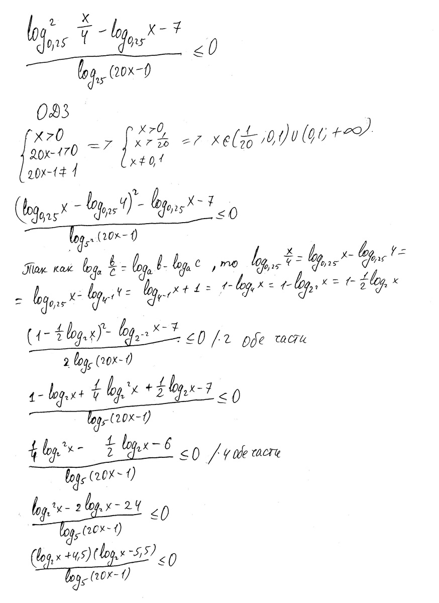
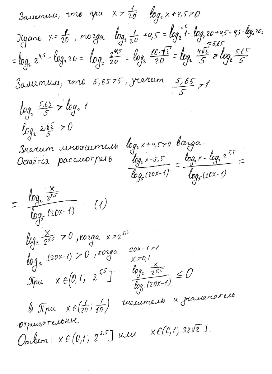
Решение в приложении
Приложения:


Ответ дал:
0
Решение смотрите во вложении!
Приложения:


Вас заинтересует
2 года назад
7 лет назад
10 лет назад
10 лет назад
10 лет назад