• Предмет: Математика
  • Автор: AlinaTodesKem
  • Вопрос задан 10 лет назад

Математика! Мне срочно!!!!!!!
Затупила

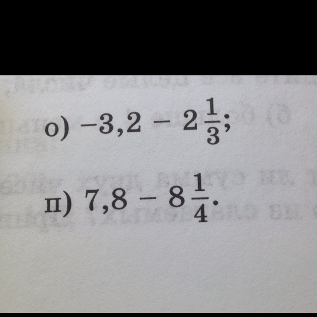
Приложения:

Ответа на этот вопрос пока нет. Попробуйте найти его через форму поиска.

Вас заинтересует