Даю 50 баллов! Помогите пж.
каждый из рисунков задаёт некоторую задачу выясните что известно и найдите неизвестные величины(Смотрите вложение)
Приложения:

Ответы
Ответ дал:
0
это просто) дан периметр прямоугольника, он равен (а+в)*2
у тебя есть одна сторона, то есть p-2а=2b
b=(p-2a)/2
b=(20-2*13/2)/2=3.5
s=a*b=3.5*6.5=22.75
у тебя есть одна сторона, то есть p-2а=2b
b=(p-2a)/2
b=(20-2*13/2)/2=3.5
s=a*b=3.5*6.5=22.75
Ответ дал:
0
7/2*13/2=91/4=22,75
Ответ дал:
0
а p-2a что значит?
Ответ дал:
0
ааа, p-периметр периметр = (а+в)*2 = 2а+2в
Ответ дал:
0
а 6.5 это сколько?
Ответ дал:
0
спасиб
Ответ дал:
0
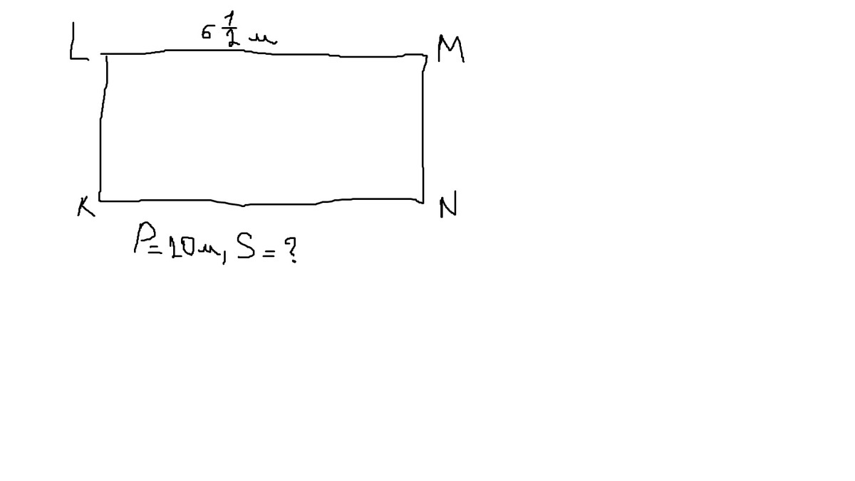
дано LM=6.5м, P=20м
найти S
решение чтобы найти площадь, нужно вычислить другую сторону прямоугольника-KL
P=2*(KL+LM)
2*KL+2*6,5=20
2*KL=7
KL=3,5
вычисляем площадь
S=KL*LM =3,5*6,5=22.75
ответ S=22.75м
найти S
решение чтобы найти площадь, нужно вычислить другую сторону прямоугольника-KL
P=2*(KL+LM)
2*KL+2*6,5=20
2*KL=7
KL=3,5
вычисляем площадь
S=KL*LM =3,5*6,5=22.75
ответ S=22.75м
Вас заинтересует
2 года назад
7 лет назад
10 лет назад
10 лет назад