Даю 50 баллов! Помогите пж.
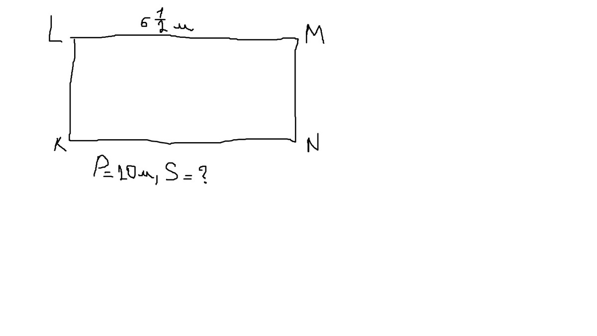
каждый из рисунков задаёт некоторую задачу выясните что известно и найдите неизвестные величины(Смотрите вложение)
Приложения:

Ответа на этот вопрос пока нет. Попробуйте найти его через форму поиска.
Вас заинтересует
2 года назад
7 лет назад
7 лет назад
10 лет назад
10 лет назад
10 лет назад