Ответы
Ответ дал:
0
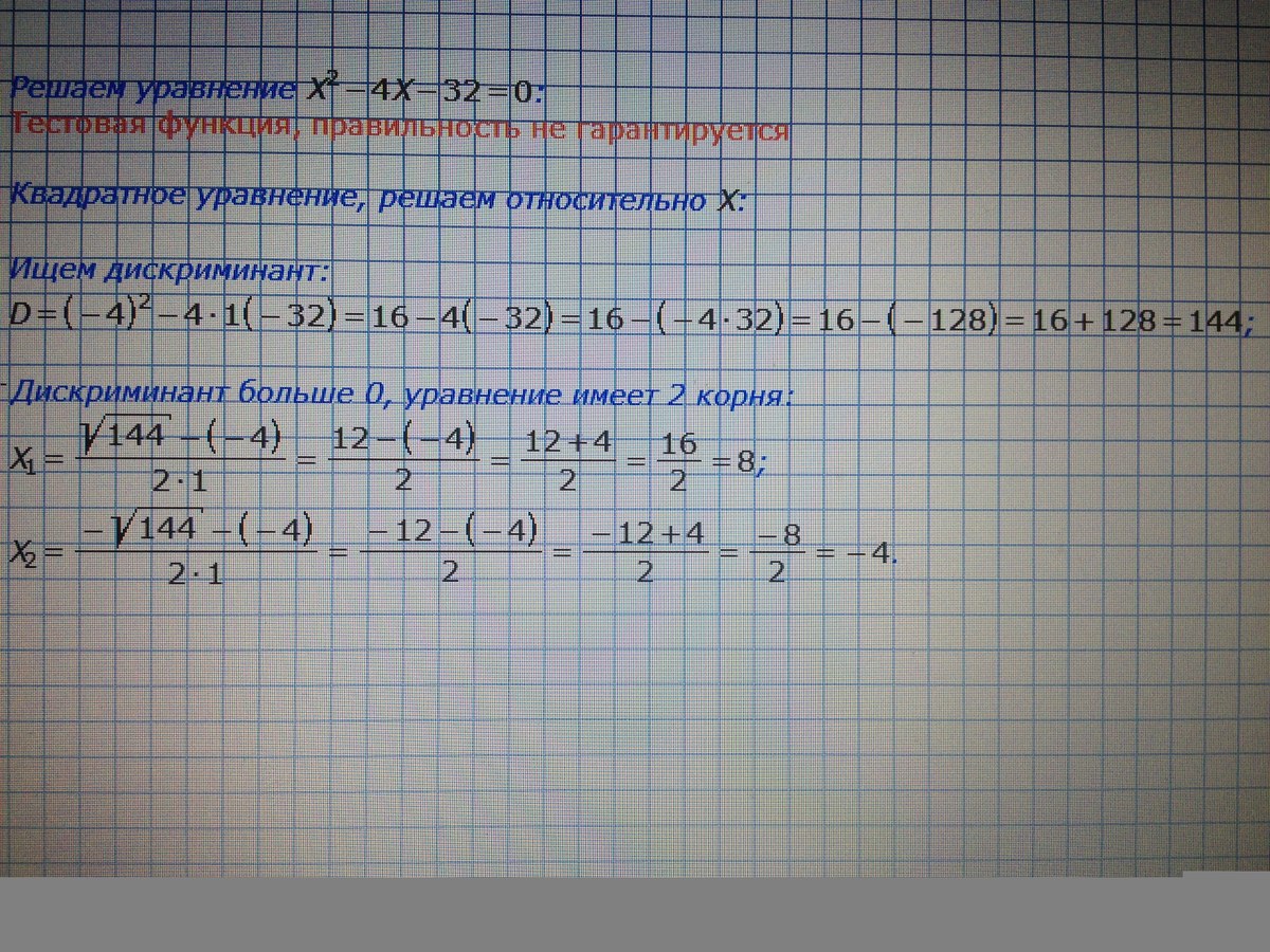
x^2 -4x -32=0
D = 16 + 4*32 = 144=12
x = 4 +/- 12 / 2
x1= 8 x2=-4
Ответ дал:
0
фото................................................
Приложения:

Вас заинтересует
2 года назад
2 года назад
8 лет назад
10 лет назад
10 лет назад