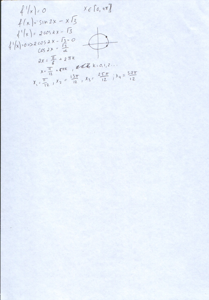
Найдите все занчения Х, при которых выполняется равенство f ' (x)=0, если f(x) - sin2x - x(корень из 3) и x€ [0;4п].
ПОМОГИТЕ РЕШИТЬ))))ОЧЕНЬ НУЖНО!
Ответы
Ответ дал:
0
смотри решение на листочке
Приложения:

Ответ дал:
0
X1 можно расписать его решение?)))
Ответ дал:
0
Почему Pi/12
Вас заинтересует
2 года назад
2 года назад
7 лет назад
7 лет назад
10 лет назад
10 лет назад
10 лет назад
10 лет назад