• Предмет: Физика
  • Автор: Григорий11111111
  • Вопрос задан 10 лет назад

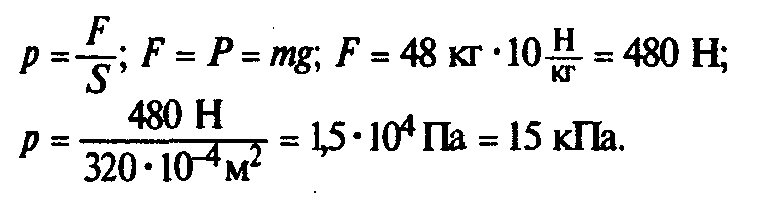
Каково давление оказывает на пол мальчик весом 48 кг.И размером подошвы 320см/2

Ответы

Ответ дал: blinov308
0
Ответ : 452. 15 кПа.   
Приложения:
Вас заинтересует