Ответы
Ответ дал:
0
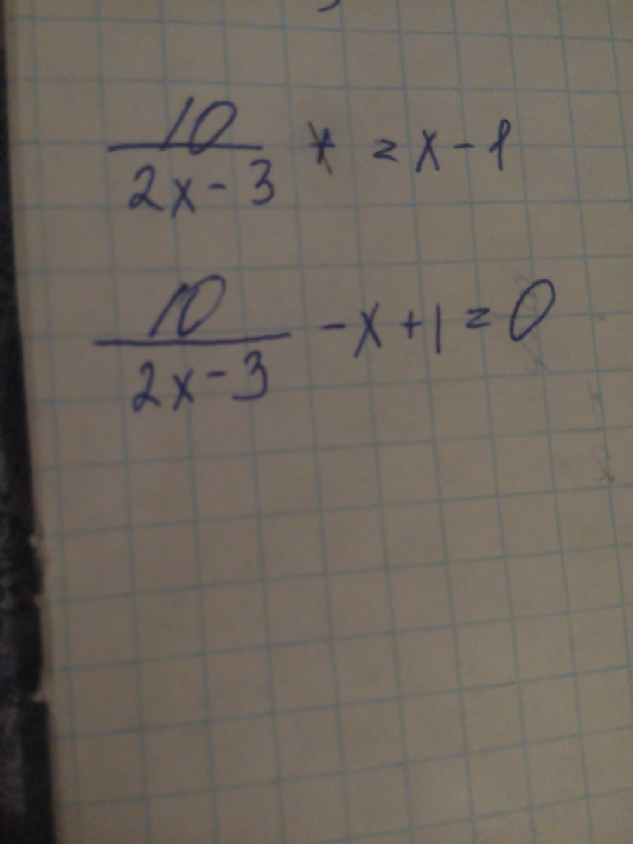
(x-1)*(2x-3)=10
2x²-3x-2x+3=10
2x²-5x-7=0
D=5²-4*2*(-7)=25+56=√81=9
x1=(5+9)/2*2=14/4=3,5
x2=(5-9)/2*2=-4/4=-1
ответ:(-1 ; 3,5)
2x²-3x-2x+3=10
2x²-5x-7=0
D=5²-4*2*(-7)=25+56=√81=9
x1=(5+9)/2*2=14/4=3,5
x2=(5-9)/2*2=-4/4=-1
ответ:(-1 ; 3,5)
Вас заинтересует
2 года назад
2 года назад
8 лет назад
10 лет назад
10 лет назад
10 лет назад