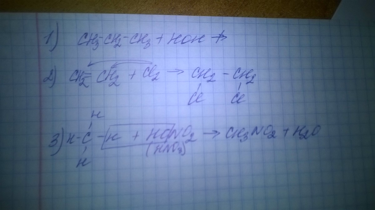
Написать уравнения реакция взаимодействия 1)пропана с водой 2)этилен с молекулой хлора 3) метана с азотной кислотной
Ответы
Ответ дал:
0
реакция пропана с водой не может быть. алканы с водой не реагируют.
Приложения:

Вас заинтересует
2 года назад
7 лет назад
10 лет назад
10 лет назад