• Предмет: Алгебра
  • Автор: Камиль1610
  • Вопрос задан 10 лет назад

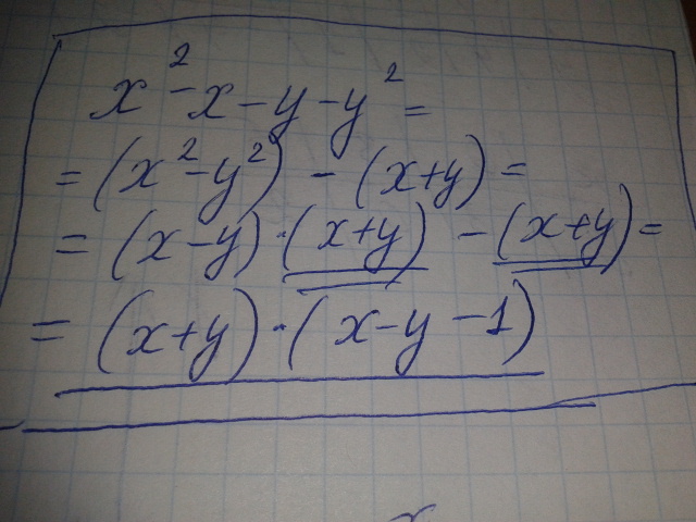
Разложить на множители x^2-x-y-y^2

Ответы

Ответ дал: tarskii2013
0
(x-y)(x+y)-(x+y)=(x+y)(x-y-1)
Ответ дал: Аноним
0
смотри в файле.............................................................................
Приложения:
Ответ дал: Камиль1610
0
А откуда -1?
Ответ дал: Аноним
0
когда мы забрали скобку вторую и вынесли ее, то осталось же не пустое место , а 1 , со знаком минус.
Ответ дал: Аноним
0
формула разности квадратов
Ответ дал: Камиль1610
0
Н успасибо
Ответ дал: Аноним
0
ну пожалуйста...
Вас заинтересует