Ответы
Ответ дал:
0
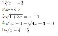
1) (∛x)³=-3³ x=-27
2)√x=2-x (√x)²=(2-x)² x=4-4x+x² x²-5x+4=0 x1=1 x2=4 -постороний корень
3) (√1+3x)²=(x+1)² 1+3x=x²+2x+1 x²-x=0 x(x-1)=0 x1=0 x2=1
4)(√5x-1)²=(√4x+3)²
5x-1=4x+3
x=4
5) (√x-4)²=5² x-4=25 x=29
2)√x=2-x (√x)²=(2-x)² x=4-4x+x² x²-5x+4=0 x1=1 x2=4 -постороний корень
3) (√1+3x)²=(x+1)² 1+3x=x²+2x+1 x²-x=0 x(x-1)=0 x1=0 x2=1
4)(√5x-1)²=(√4x+3)²
5x-1=4x+3
x=4
5) (√x-4)²=5² x-4=25 x=29
Вас заинтересует
2 года назад
8 лет назад
8 лет назад
10 лет назад
10 лет назад
10 лет назад