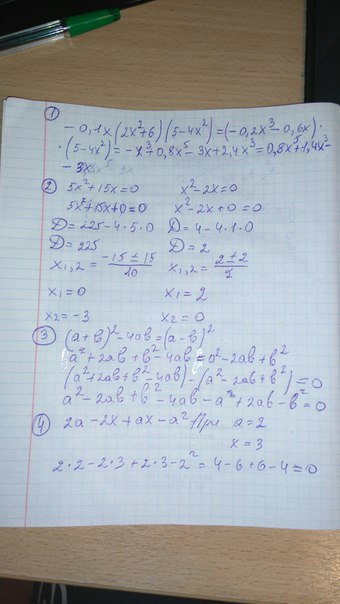
-0,1x(2х²+6)(5-4х²) упростить
5х²+15х=0 х²-2х=0 решить
(a+b)²-4ab-(a-b)² доказать тождество
1 1
2а-2х+ах-а² при а=2 х= 3
7 7
Найти значение выражения
Пожалуйста ребят помогите... вот вк iphonelag (id), выполню просьбу. нужно сделать до завтра 6 30 мск
Ответы
Ответ дал:
0
Где доказать тождество, ты наверное ошибку допустил, после 4ab не - , а =. Решение прикреплено ниже.
Приложения:

Вас заинтересует
2 года назад
2 года назад
7 лет назад
9 лет назад
10 лет назад