• Предмет: Алгебра
  • Автор: alina1alinka
  • Вопрос задан 10 лет назад

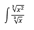
Помогите вывести из интеграла

Приложения:

Ответы

Ответ дал: laymlaym2
0
intfrac{sqrt[3]{x^2}}{sqrt[3]{x}}dx=intfrac{x^{frac{2}{3}}}{x^{frac{1}{3}}}dx=int x^{frac{2}{3}-frac{1}{3}}dx=int x^{frac{1}{3}}dx=frac{x^{frac{1}{3}+1}}{frac{1}{3}+1}+C=\=frac{3x^{frac{4}{3}}}{4}+C
Ответ дал: alina1alinka
0
Спасибо за подробное решение, а то с этими радикалами заминка возникла)
Вас заинтересует