Ответы
Ответ дал:
0
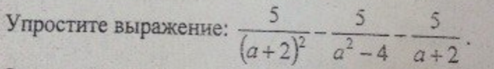
a²-4=(a-2)(a+2)
(5(a-2)-5(a+2)-5(a-2)(a+2)²)/
/(a-2)(a+2)²=
=(5a-10-5a-10-5(a-2)(a²+4a+4))/(a-2)(a+2)²=
=(-20-5(a^3-8))/(a-2)(a+2)²=
=(-20-5a^3+40)/(a-2)(a+2)²
=(20-5a^3)/(a^3-8)=
=(5(4-a^3))/(a^3-8)
(a-2)(a+2)²=(a-2)(a²+4a+4)=
=a^3-8
значок ^ обозначает в степени
(5(a-2)-5(a+2)-5(a-2)(a+2)²)/
/(a-2)(a+2)²=
=(5a-10-5a-10-5(a-2)(a²+4a+4))/(a-2)(a+2)²=
=(-20-5(a^3-8))/(a-2)(a+2)²=
=(-20-5a^3+40)/(a-2)(a+2)²
=(20-5a^3)/(a^3-8)=
=(5(4-a^3))/(a^3-8)
(a-2)(a+2)²=(a-2)(a²+4a+4)=
=a^3-8
значок ^ обозначает в степени
Вас заинтересует
2 года назад
8 лет назад
8 лет назад
10 лет назад
10 лет назад
10 лет назад