Ответы
Ответ дал:
0
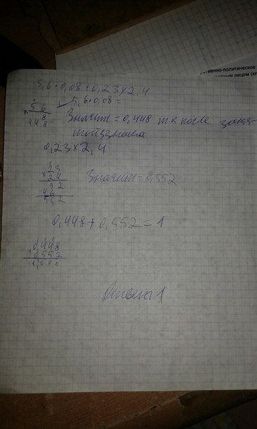
0,448+0,552=1
..........................................
..........................................
Ответ дал:
0
В столбик всё подробно расписала.
Приложения:

Ответ дал:
0
Спасибо
Ответ дал:
0
неправильно!!!!
Вас заинтересует
2 года назад
2 года назад
7 лет назад
7 лет назад
10 лет назад
10 лет назад
10 лет назад