Ответы
Ответ дал:
0
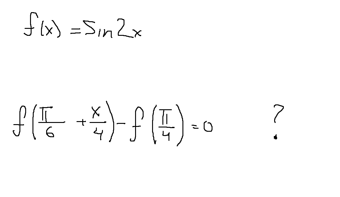
1)
sin(2(π/6 + x/4)) - sin(2*(π/4))=0
sin(π/3 + x/2) - sin(π/2)=0
sin(π/3 + x/2)=1
π/3 + x/2=π/2 + 2πk, k∈Z
x/2= π/2 - π/3 + 2πk
x/2= [(3π-2π)/6] + 2πk
x/2= π/6 + 2πk
x= π/3 + 4πk, k∈Z
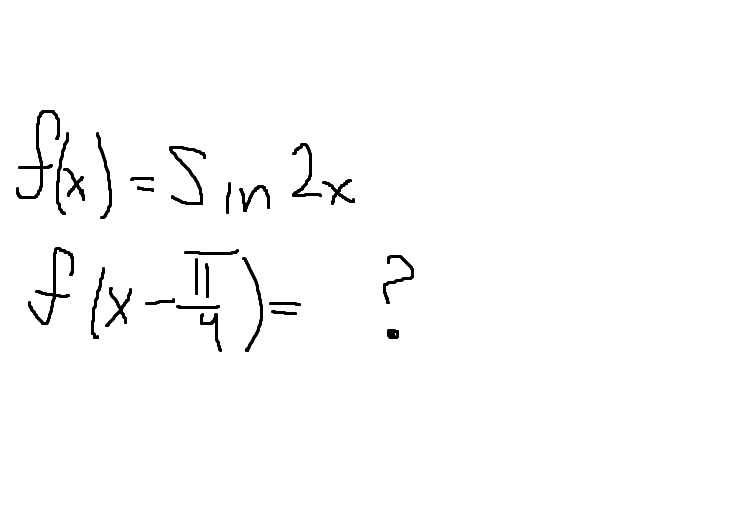
2)
f(x- π/4) =sin 2(x - π/4) = sin(2x - π/2)= sin(-(π/2 - 2x))=
= -sin(π/2 - 2x)= - cos2x.
sin(2(π/6 + x/4)) - sin(2*(π/4))=0
sin(π/3 + x/2) - sin(π/2)=0
sin(π/3 + x/2)=1
π/3 + x/2=π/2 + 2πk, k∈Z
x/2= π/2 - π/3 + 2πk
x/2= [(3π-2π)/6] + 2πk
x/2= π/6 + 2πk
x= π/3 + 4πk, k∈Z
2)
f(x- π/4) =sin 2(x - π/4) = sin(2x - π/2)= sin(-(π/2 - 2x))=
= -sin(π/2 - 2x)= - cos2x.
Ответ дал:
0
Огромное спасибо, не могли бы вы помочь еще с парочкой подобных? За баллы разумеется, отправлю вам в лс
Ответ дал:
0
нет времени
Вас заинтересует
3 года назад
8 лет назад
8 лет назад
10 лет назад
10 лет назад