• Предмет: Алгебра
  • Автор: gvcmmmm
  • Вопрос задан 10 лет назад

Помогите решить приложенные примеры (40 баллов)

Приложения:

Ответы

Ответ дал: ShirokovP
0
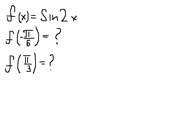
sin ( - 2pi/6) = sin (- pi/3) = - sin (pi/3) = - √3/2
sin (2pi/3) = 
 √3/2 
Ответ дал: gvcmmmm
0
Большое спасибо)
Вас заинтересует