• Предмет: Химия
  • Автор: qwerereer
  • Вопрос задан 10 лет назад

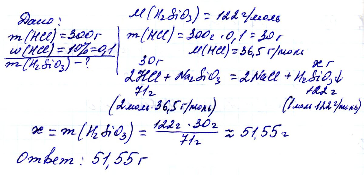
при взаимодействии силиката натрия с 300г 10%ного раствора соляной кислоты выпал осадок массой

Ответы

Ответ дал: mrvladimir2
0
Решение задачи см. во вложении
Приложения:
Вас заинтересует