• Предмет: Математика
  • Автор: Аноним
  • Вопрос задан 10 лет назад

916 умножить на 43










Ответы

Ответ дал: Аноним
0
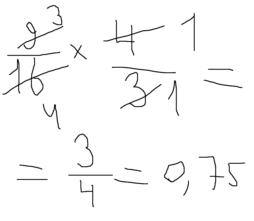
9/16 · 4/3 = (9 · 4) /(16·3) = /сокращаем/ =3/4
Ответ дал: Аноним
0
34 - 34 =
Ответ дал: abduraxmonov99
0
вот держи!.............................
Приложения:
Вас заинтересует