Ответы
Ответ дал:
0
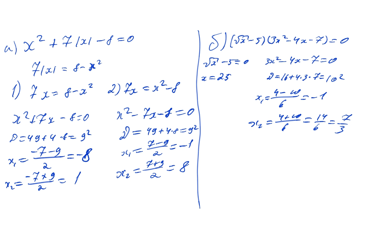
в Б обе скобки приравниваешь 0
Приложения:

Вас заинтересует
7 лет назад
10 лет назад
10 лет назад
10 лет назад
10 лет назад