• Предмет: Алгебра
  • Автор: smogas765
  • Вопрос задан 10 лет назад

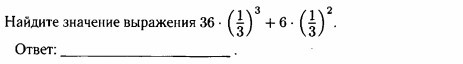
Решите, чтобы свериться

Приложения:

Ответы

Ответ дал: явсёзнаюахотянет
0
Ответ:одна целая пять девятых.

Вас заинтересует