• Предмет: Алгебра
  • Автор: Аноним
  • Вопрос задан 10 лет назад

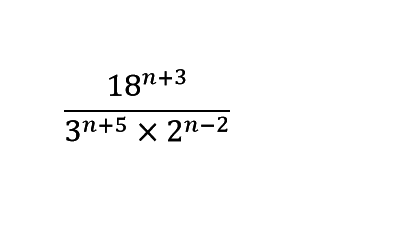
Упростите пожалуйста

Приложения:

Ответы

Ответ дал: sedinalana
0
3 ^{2n+6} *2 ^{n+3} /(3 ^{n+5} *2 ^{n-2} =3 ^{n+1} *2^5=32*3*3^n=96*3^n
Вас заинтересует